The Police have observed a resurgence of a scam variant that involves scammers impersonating legitimate property agents and asking victims for payment to secure the rental of a unit before viewing the property. Since January 2022, at least 997 victims have fallen prey, with total losses amounting to at least $3.9 million.
In this variant, the victims would typically respond to an online property listing and initiate a conversation with the scammer via WhatsApp using the contact numbers in the fake online listing. During the conversation, the scammer would impersonate a registered property agent and convince the victim of his credentials by sending a picture of the property agent’s business card and pictures or videos of the property to be leased. The scammer would then request for the victim’s personal details to prepare the lease agreement. When victims asked if they could view the property, the scammers would claim that the landlord was unavailable. To add an air of legitimacy, scammers would send a copy of a lease agreement with the name and NRIC of the purported owner of the unit to the victims for signature. After signing, victims would then be instructed to make payment for various reasons (such as rental deposits, stamp duty or other fees) to secure the rental. Victims would only discover that they had been scammed after the scammer ceased contact with them or when they reach out to the legitimate property agents through other means.
The Police would like to advise members of the public to adopt the following precautionary measures:
- Verify the legitimacy of a property listing via the following means:
- Liaise with a property agent using only the agent’s phone number registered on CEA’s Public Register. Members of the public may check whether a property agent is registered with the Council for Estate Agencies (CEA) by searching for the agent’s phone number on the CEA Public Register. If the search does not lead to the property agent’s profile page, it means that the property agent has not registered that phone number with the CEA and the listing may be a scam.
- Contact the agent’s property agency to verify the authenticity of the listing.
- Beware of calls with the “+” prefix which originate from overseas;
- Do not make any payments before a property viewing; and
- Do not disclose your personal information, credit card and bank details or passwords, including one-time passwords (OTPs), to anyone.
If you have information related to such crimes, please call the Police Hotline at 1800-255-0000, or submit it online at www.police.gov.sg/iwitness. Please dial ‘999’ if you require urgent Police assistance.
For more information on scams, members of the public can visit www.scamalert.sg or call the Anti-Scam Hotline at 1800-722-6688. Anyone with information on such scams may call the Police Hotline at 1800-255-0000 or submit information online at www.police.gov.sg/iwitness. All information will be kept strictly confidential.
Annex A
Image 1: Business card of registered property agent abused by scammer

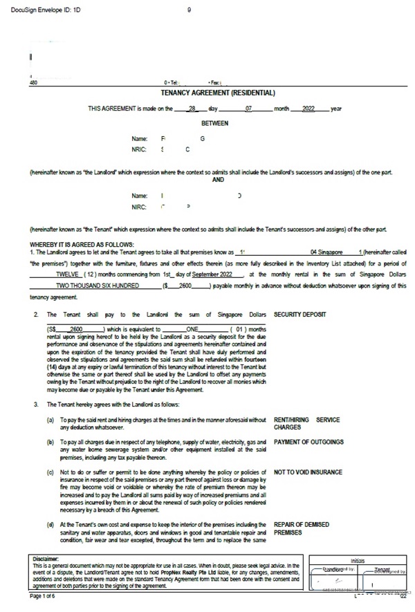
Image 2: Forged tenancy agreement

PUBLIC AFFAIRS DEPARTMENT
SINGAPORE POLICE FORCE
26 August 2022 @ 12:30 AM
